Chodnik v ulici Ke skale - volebni body pro starostku?
Re: Chodnik v ulici Ke skale - volebni body pro starostku?
...a už to zase míří do ztracena...
Mluvil jsem s technickým dozorem stavby, směrodatné jsou prý technické výkresy a né technická zpráva v které byl uveden sklon 6% a vypracoval jí prý p. Kovář. V technických výkresech je zanesen současný sklon pozemku a to, že je místy 14%, hm, tak to prostě vyšlo a vyrovnávat ho, by byl problem.
Nic méně, něco se pohnulo - odbor dopravy Černošice vypracovává posudek na sklon chodníku...tady to je ale dvousečné - pokud vydá odbor dopravy posudek, že je vlastně vše OK, můžem se jít tak leda klouzat. Pokud řekne, že se nesmí porušovat normy a to ani když se jedná o chodník v Chýni, pak je naděje, že se sklon bude předělávat. Tady ale dost záleží, kdo vypracování posudku zadá, zda odpůrce či zastánce sklonu...
Mluvil jsem s technickým dozorem stavby, směrodatné jsou prý technické výkresy a né technická zpráva v které byl uveden sklon 6% a vypracoval jí prý p. Kovář. V technických výkresech je zanesen současný sklon pozemku a to, že je místy 14%, hm, tak to prostě vyšlo a vyrovnávat ho, by byl problem.
Nic méně, něco se pohnulo - odbor dopravy Černošice vypracovává posudek na sklon chodníku...tady to je ale dvousečné - pokud vydá odbor dopravy posudek, že je vlastně vše OK, můžem se jít tak leda klouzat. Pokud řekne, že se nesmí porušovat normy a to ani když se jedná o chodník v Chýni, pak je naděje, že se sklon bude předělávat. Tady ale dost záleží, kdo vypracování posudku zadá, zda odpůrce či zastánce sklonu...
Srneček
Re: Chodnik v ulici Ke skale - volebni body pro starostku?
Chápu li to správně je v projektové dokumentaci chyba (rozpor textové a grafické části) a bude tedy nutno tuto projektovou dokumentaci u jejího zhotovitele reklamovat...?Srneček píše:...a už to zase míří do ztracena...
Mluvil jsem s technickým dozorem stavby, směrodatné jsou prý technické výkresy a né technická zpráva v které byl uveden sklon 6% a vypracoval jí prý p. Kovář. V technických výkresech je zanesen současný sklon pozemku a to, že je místy 14%, hm, tak to prostě vyšlo a vyrovnávat ho, by byl problem.
Nic méně, něco se pohnulo - odbor dopravy Černošice vypracovává posudek na sklon chodníku...tady to je ale dvousečné - pokud vydá odbor dopravy posudek, že je vlastně vše OK, můžem se jít tak leda klouzat. Pokud řekne, že se nesmí porušovat normy a to ani když se jedná o chodník v Chýni, pak je naděje, že se sklon bude předělávat. Tady ale dost záleží, kdo vypracování posudku zadá, zda odpůrce či zastánce sklonu...
Píšeš, že odbor dopravy Černošice vypracovává posudek na sklon chodníku a že výsledek tohoto posudku dost záleží na tom kdo zpracování tohoto posudku zadal... Můžeš nám prozradit (samozřejmě pokud to víš) kdo zpracování posudku zadal? (I když osobně se nedomnívám, že by osoba zadavatele měla velký vliv na obsah rozhodnutí...)
A poslední námět. Nebylo by vhodné se v předmětné věci obrátit také na stavební úřad Hostivice, který bude chodník kolaudovat?
Případně si na sklon chodníku nechat provést posudek od nezávislého soudního znalce v oboru dopravních staveb? Možná by se tím předešlo řadě spekulací.

Re: Chodnik v ulici Ke skale - volebni body pro starostku?
Já to pochopil tak, že je rozpor mezi jakýmsi návrhem, jak by měl chodník vypadat a prováděcími projekty podle kterých je stavba realizována.
Posudek na chodník, dle mého názoru, musela zadat obec - nedovedu si představit, kdo jiný by ho mohl totiž objednat...a co si budem povídat, záleží, jak je věc vylíčena - pokud se řekne, chodník už je hotový, terénní situace jiné řešení vlastně ani nepřipouští a pokud snad, tak tedy jen za cenu vykácení další zeleně, navezení xx tater štěrku a velmi komplikovaného modelování náspu...jaký bys napsal posudek Ty?
Co se týká stavebního úřadu - mám za to, že chodík budou koalaudovat právě Černošice jako dopravní stavbu a hostivický SÚ bude úplně mimo hru.
Soudní znalec je až poslední možnost a ze svého si ho najímat nehodlám...ve středu je zasedání SDK (dnes byly rozeslány pozvánky) - tam by se to mělo posunout a projasnit, jak je vidět problém chodníku začíná být na pořadu dne a rejpání nese své ovoce - zaplať pánbů...a taky punkerovi z SDK, který požadoval svolání místního šetření.
Posudek na chodník, dle mého názoru, musela zadat obec - nedovedu si představit, kdo jiný by ho mohl totiž objednat...a co si budem povídat, záleží, jak je věc vylíčena - pokud se řekne, chodník už je hotový, terénní situace jiné řešení vlastně ani nepřipouští a pokud snad, tak tedy jen za cenu vykácení další zeleně, navezení xx tater štěrku a velmi komplikovaného modelování náspu...jaký bys napsal posudek Ty?

Co se týká stavebního úřadu - mám za to, že chodík budou koalaudovat právě Černošice jako dopravní stavbu a hostivický SÚ bude úplně mimo hru.
Soudní znalec je až poslední možnost a ze svého si ho najímat nehodlám...ve středu je zasedání SDK (dnes byly rozeslány pozvánky) - tam by se to mělo posunout a projasnit, jak je vidět problém chodníku začíná být na pořadu dne a rejpání nese své ovoce - zaplať pánbů...a taky punkerovi z SDK, který požadoval svolání místního šetření.
Srneček
Re: Chodnik v ulici Ke skale - volebni body pro starostku?
Tak kde študovaní páni udělali chybu?
- Přílohy
-
- IMAG0009.jpg
- (1.11 MiB) Zatím ještě nestaženo
-
- IMAG0010.jpg
- (874.12 KiB) Zatím ještě nestaženo
-
- IMAG0008.jpg
- (963.89 KiB) Zatím ještě nestaženo
-
- Příspěvky: 121
- Registrován: 14 pro 2006, 22:04
- Bydliště: Borová 307
Re: Chodnik v ulici Ke skale - volebni body pro starostku?
tak to je fakt hustyDavid píše:Tak kde študovaní páni udělali chybu?

Re: Chodnik v ulici Ke skale - volebni body pro starostku?
Chyba bude v tom, že na z chodníku není dostatečně vyřešen odvod dešťových vod. Řada projektantů se mylně domnívá, že k odvodu vody z ploch provedených ze zámkové dlažby stačí průsak tělesem komunikace. Tohle však v praxi nikdy nefungovalo, ba naopak v zimních měsícíh to obvykle vedlo k poničení povrchu "zvednutím" dlažby, který zapříčinila voda zmrzlá v podkladních vrstvách tělesa komunikace.David píše:Tak kde študovaní páni udělali chybu?
Chodník by bylo potřeba doplnit o pár uličních vpustí nebo lépe odvodňovacích žlabu napojených buď do dešťové kanalizace nebo do vsakovací jímky.
Re: Chodnik v ulici Ke skale - volebni body pro starostku?
Nejsem silničář (zabývám se převážně bytovými a občanskými stavbami), ale pokud jsme v posledních dvou letech kolaudovali (v Praze) chodník nebo komunikaci v rámci nějakého bytového souboru tak nám jí kolaudoval stavební úřad a odbor dopravy, hasiči a policie ... pouze dávali svoje závazné stanovisko ke kolaudaci.Srneček píše:Já to pochopil tak, že je rozpor mezi jakýmsi návrhem, jak by měl chodník vypadat a prováděcími projekty podle kterých je stavba realizována.
Posudek na chodník, dle mého názoru, musela zadat obec - nedovedu si představit, kdo jiný by ho mohl totiž objednat...a co si budem povídat, záleží, jak je věc vylíčena - pokud se řekne, chodník už je hotový, terénní situace jiné řešení vlastně ani nepřipouští a pokud snad, tak tedy jen za cenu vykácení další zeleně, navezení xx tater štěrku a velmi komplikovaného modelování náspu...jaký bys napsal posudek Ty?![]()
Co se týká stavebního úřadu - mám za to, že chodík budou koalaudovat právě Černošice jako dopravní stavbu a hostivický SÚ bude úplně mimo hru.
Soudní znalec je až poslední možnost a ze svého si ho najímat nehodlám...ve středu je zasedání SDK (dnes byly rozeslány pozvánky) - tam by se to mělo posunout a projasnit, jak je vidět problém chodníku začíná být na pořadu dne a rejpání nese své ovoce - zaplať pánbů...a taky punkerovi z SDK, který požadoval svolání místního šetření.
Máš pravdu, že chodník je už hotový... Nemám platnou projektovou dokumentaci ani smlouvu... abych mohl říct kdo pochybil a navíc jak již jsem psal nejsem silničář. Ale domnívám se, že udělat sklon chodníku přijatelnější by nebylo nijak technicky ani finančně náročné. Rozhodně v rámci cca 10.000.000,- rozpočtu by to byla suma vskutku zanedbatelná.

Re: Chodnik v ulici Ke skale - volebni body pro starostku?
Problem bude vážnější,
jednak na chodník natekla spíš voda ze silnice, která své odvodnění taky nemá
zaústění vody do dešťové kanalizace nebude tak jednoduché - nejbližší možné napojení je minimálně 50 metrů vzdálené a mám za to, že bude ve stejné výšce jako náš "rybníček" (je to ten kanál, přikrytý velkou mříží, prorůstající náletem jasanů, na křížení Rudenské a Okrajové)
a něco pro zasmání: jestli jsem dobře pochopil vyprávění staroznalců, tak právě tohle, dnes zavodněné místo ve Višňovce kdysi sloužilo jako suchý poldr - tenkrát tomu sice říkali jinak, ale sloužilo stejně dobře - když teklo hodně vody, tak se tam prostě zastavila, rozlila a pak postupně zmizela...
jednak na chodník natekla spíš voda ze silnice, která své odvodnění taky nemá
zaústění vody do dešťové kanalizace nebude tak jednoduché - nejbližší možné napojení je minimálně 50 metrů vzdálené a mám za to, že bude ve stejné výšce jako náš "rybníček" (je to ten kanál, přikrytý velkou mříží, prorůstající náletem jasanů, na křížení Rudenské a Okrajové)
a něco pro zasmání: jestli jsem dobře pochopil vyprávění staroznalců, tak právě tohle, dnes zavodněné místo ve Višňovce kdysi sloužilo jako suchý poldr - tenkrát tomu sice říkali jinak, ale sloužilo stejně dobře - když teklo hodně vody, tak se tam prostě zastavila, rozlila a pak postupně zmizela...
Srneček
Re: Chodnik v ulici Ke skale - volebni body pro starostku?
Když jsem tam dnes dopoledne byl zdokumentovat to Gabčíkovo, potkal jsem se s panem Kovářem. Vypadal ustaraně, telefonicky to s někým probíral, a zdálo se, že tu situaci chce opravdu řešit. Tak uvidíme, jestli to odhodlání vyústí v nějakou skutečnou akci. Přejme si, aby to tak bylo.
Re: Chodnik v ulici Ke skale - volebni body pro starostku?
Tak by se musela udělat vsakovací jímka. Takto jsme dělali odvodnění komunikace ve Slivenci, kde nemají dešťovou kanalizaci. Jednalo se o plochu cca 1200m2 a celé to bylo přes uliční vpusti a jeden žlab dovodněné do vsakovacích jímek z voštinových bloků (taková obdoba molitanu, je to pod zemí a je to pojízdné...).Srneček píše:Problem bude vážnější,
jednak na chodník natekla spíš voda ze silnice, která své odvodnění taky nemá
zaústění vody do dešťové kanalizace nebude tak jednoduché - nejbližší možné napojení je minimálně 50 metrů vzdálené a mám za to, že bude ve stejné výšce jako náš "rybníček" (je to ten kanál, přikrytý velkou mříží, prorůstající náletem jasanů, na křížení Rudenské a Okrajové)
a něco pro zasmání: jestli jsem dobře pochopil vyprávění staroznalců, tak právě tohle, dnes zavodněné místo ve Višňovce kdysi sloužilo jako suchý poldr - tenkrát tomu sice říkali jinak, ale sloužilo stejně dobře - když teklo hodně vody, tak se tam prostě zastavila, rozlila a pak postupně zmizela...
Ale to je spíš na projektanta úprav Višňovky...
Re: Chodnik v ulici Ke skale - volebni body pro starostku?
Když tam ta voda tak hezky drží tak neuděláme tam rybníček? A od břehu ke břehu by lidi převážel převozník. To by byla bomba, no né? To hned tak nějaká obec nemá! A v zimě by tam bylo kluziště, na kterém se dá hrát okresní přebor. Stačí tam jen trochu té vody dopustit ...
Mě hodně překvapuje, že se tady pořád bavíme v obecné rovině. To nikdo ze zastupitelů nemá k dispozici projekt, ze kterého lze vyčíst jak to vlastně mělo vypadat? A měl by asi taky být k dispozici rozpočet celé akce, ze kterého by mělo být možné vyčíst, kolik kubíku zeminy (ne materiálu) se má v rámci realizace zpracovat- přesunout. Jestli se nepletu, tak v původním rozpočtu bylo něco kolem 60 kubíků? S tímto objemem se zatím ve Višňovce rozhodně nehýbalo. Jestli to v rozpočtu bylo, tak kde jsou ty ušetřené peníze? Podle mě je v rozpočtu určitě dost peněz na to, aby se chodník předělal. Když se to nepředělá, tak pro zimní období vidím jako reálné dvě varianty:
1. obec bude vynakládat zvýšené prostředky na posyp a čištění
2. obec investuje do tabulky s nápisem "Cesta se v zimním období neudržuje".
A kde jsou peníze za ušetřenou práci při dozorování stavby? Běžná cena za stavební a autorský dozor je cca. 10% z celkové ceny projektu. Tzn. při ceně celého projektu 10 milionů to dělá cca. 1 milion. Vzhledem k tomu, jak se celá stavba dělá již od začátku špatně, tak mám vážné podezření, že skutečné náklady na dozor budou o hodně nižší. Kde je rozdíl?
Mě hodně překvapuje, že se tady pořád bavíme v obecné rovině. To nikdo ze zastupitelů nemá k dispozici projekt, ze kterého lze vyčíst jak to vlastně mělo vypadat? A měl by asi taky být k dispozici rozpočet celé akce, ze kterého by mělo být možné vyčíst, kolik kubíku zeminy (ne materiálu) se má v rámci realizace zpracovat- přesunout. Jestli se nepletu, tak v původním rozpočtu bylo něco kolem 60 kubíků? S tímto objemem se zatím ve Višňovce rozhodně nehýbalo. Jestli to v rozpočtu bylo, tak kde jsou ty ušetřené peníze? Podle mě je v rozpočtu určitě dost peněz na to, aby se chodník předělal. Když se to nepředělá, tak pro zimní období vidím jako reálné dvě varianty:
1. obec bude vynakládat zvýšené prostředky na posyp a čištění
2. obec investuje do tabulky s nápisem "Cesta se v zimním období neudržuje".
A kde jsou peníze za ušetřenou práci při dozorování stavby? Běžná cena za stavební a autorský dozor je cca. 10% z celkové ceny projektu. Tzn. při ceně celého projektu 10 milionů to dělá cca. 1 milion. Vzhledem k tomu, jak se celá stavba dělá již od začátku špatně, tak mám vážné podezření, že skutečné náklady na dozor budou o hodně nižší. Kde je rozdíl?
Re: Chodnik v ulici Ke skale - volebni body pro starostku?
V rozpočtu který je na obecních stránkách je výkop cca 1100 m3 což pro zajímavost představuje 138 plně naložených tatrovek. (Ale mám dojem, že tento rozpočet neobsahuje všechny chodniky...?) Takže zemních prací si ještě užijeme....pavel píše:Když tam ta voda tak hezky drží tak neuděláme tam rybníček? A od břehu ke břehu by lidi převážel převozník. To by byla bomba, no né? To hned tak nějaká obec nemá! A v zimě by tam bylo kluziště, na kterém se dá hrát okresní přebor. Stačí tam jen trochu té vody dopustit ...
Mě hodně překvapuje, že se tady pořád bavíme v obecné rovině. To nikdo ze zastupitelů nemá k dispozici projekt, ze kterého lze vyčíst jak to vlastně mělo vypadat? A měl by asi taky být k dispozici rozpočet celé akce, ze kterého by mělo být možné vyčíst, kolik kubíku zeminy (ne materiálu) se má v rámci realizace zpracovat- přesunout. Jestli se nepletu, tak v původním rozpočtu bylo něco kolem 60 kubíků? S tímto objemem se zatím ve Višňovce rozhodně nehýbalo. Jestli to v rozpočtu bylo, tak kde jsou ty ušetřené peníze? Podle mě je v rozpočtu určitě dost peněz na to, aby se chodník předělal. Když se to nepředělá, tak pro zimní období vidím jako reálné dvě varianty:
1. obec bude vynakládat zvýšené prostředky na posyp a čištění
2. obec investuje do tabulky s nápisem "Cesta se v zimním období neudržuje".
A kde jsou peníze za ušetřenou práci při dozorování stavby? Běžná cena za stavební a autorský dozor je cca. 10% z celkové ceny projektu. Tzn. při ceně celého projektu 10 milionů to dělá cca. 1 milion. Vzhledem k tomu, jak se celá stavba dělá již od začátku špatně, tak mám vážné podezření, že skutečné náklady na dozor budou o hodně nižší. Kde je rozdíl?

Odměna za stavební dozor 10% nebývá... V praxi podle velikosti stavby to je tak 2% - 3% z ceny díla.
1 122 10-1101 Odkopávky nezapažené v horn. tř. 1 a 2 m3 800
1 122 10-2201 Odkopávky a prokopávky nezapažené pro silnice do 100 m3 - 250 mm m3 170
3 122 10-2201 Odkopávky a prokopávky nezapažené pro silnice do 100 m3 - 280 mm m3 33,6
3 122 10-2201 Odkopávky a prokopávky nezapažené pro silnice do 100 m3 - 380 mm m3 15,2
3 122 10-2201 Odkopávky a prokopávky nezapažené pro silnice do 100 m3 - 280 mm m3 19,6
3 122 10-2201 Odkopávky a prokopávky nezapažené pro silnice do 100 m3 - 150 mm m3 63
Re: Chodnik v ulici Ke skale - volebni body pro starostku?
Já se tomu nesměju. Dřív (ale to už je hodně dávno) mělo vyprávění staroznalců velkou váhu. Dneska né, my ho neposloucháme, nebo se vůbec neptáme, nebo se mu smějeme. A pak stačí, aby trochu zapršelo nebo roztálo...Srneček píše:a něco pro zasmání: jestli jsem dobře pochopil vyprávění staroznalců, tak právě tohle, dnes zavodněné místo ve Višňovce kdysi sloužilo jako suchý poldr - tenkrát tomu sice říkali jinak, ale sloužilo stejně dobře - když teklo hodně vody, tak se tam prostě zastavila, rozlila a pak postupně zmizela...
Pardon, to je úplně od věci. Ale já tohle slyším za posledních pár let už poněkolikáté (v souvislosti s různými místy v Čechách a na Moravě).
Prostá obyvatelka Ir., která se od staroznalců naučila, že větru, dešti a vodě v krajině neporučíš
Re: Chodnik v ulici Ke skale - volebni body pro starostku?
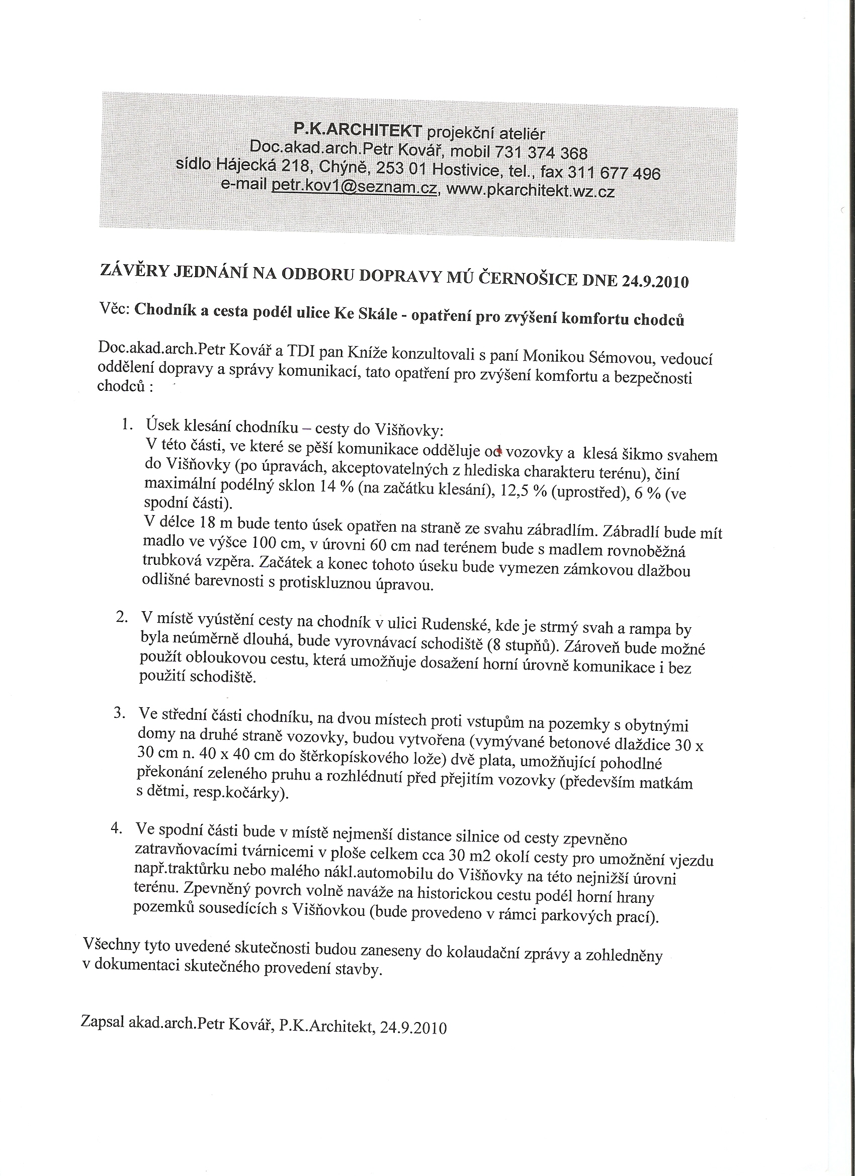
Dnes proběhlo zasedání SDK za účasti těchto osob: Kovářová, Kovář, Pokorná, Horák, Belza, Jelínek, Kníže (stavební dozor).
Zápis budu teprve muset přepsat...jen teda abych vás nenapínal
, deklarovaných 6% maximálního spádu je prý omyl, v technické zprávě to takhe nemělo být napsáno - šesti procenty byl myšlen průměrný spád celého chodníku od zastávky busu až k Rudenské. Hlavní ale je, že část chodníku klesajícího do údolíčka, není chodníkem, ale parkovou cestou a na tu se normy nevztahují. Svah byl upravován, stavební povolení vydáno a chodník s cestou bude zkolaudován tak jak byl postaven.
Byl též předložen dokument z jednání na MÚ Černošice (z Černošic ale ještě nepotvrzený) viz příloha.
Zápis budu teprve muset přepsat...jen teda abych vás nenapínal

Byl též předložen dokument z jednání na MÚ Černošice (z Černošic ale ještě nepotvrzený) viz příloha.
- Přílohy
-
- skenovat0002.jpg
- (1.15 MiB) Zatím ještě nestaženo
Srneček
Re: Chodnik v ulici Ke skale - volebni body pro starostku?
jinak řešení cca 18m dlouhého úseku s větší spádem bude zabezpečeno zábradlím a na úseku s 14% spádu bude protiskluzová dlažba (viz. příloha)... Což se nám s Ondrou zdá jako nedostatečné řešení a trváme na úpravě spádu chodníku, tak aby bylo jeho užívání co nejpohodlnější.Srneček píše:Dnes proběhlo zasedání SDK za účasti těchto osob: Kovářová, Kovář, Pokorná, Horák, Belza, Jelínek, Kníže (stavební dozor).
Zápis budu teprve muset přepsat...jen teda abych vás nenapínal, deklarovaných 6% maximálního spádu je prý omyl, v technické zprávě to takhe nemělo být napsáno - šesti procenty byl myšlen průměrný spád celého chodníku od zastávky busu až k Rudenské. Hlavní ale je, že část chodníku klesajícího do údolíčka, není chodníkem, ale parkovou cestou a na tu se normy nevztahují. Svah byl upravován, stavební povolení vydáno a chodník s cestou bude zkolaudován tak jak byl postaven.
Byl též předložen dokument z jednání na MÚ Černošice (z Černošic ale ještě nepotvrzený) viz příloha.
Co se týče bazénku, tak se v současné době řeší navezením materiálu podél silnice, který se zatravní. Vytvoří tak vsakovací mantinel pro vodu. Argumentoval jsem, že při větší deštích se bude v dolní části ulice Ke Skále tvořit louže (nemýlím-li se je zde nejnižší bod ulice, směrem ke křižovatce opět mírně stoupá). Nebude-li louže, tak se opět všechna voda požene na chodník... Byl jsem odpálkován, že vše prověří čas

to Pavel: tučňák má pravdu, 10% je opravdu moc, většinou se to pohybuje kolem těch 2-3%.
to tučňák: jestli je proved kufr pořádně, tak by se dlažba zvednout neměla...
punker
Kdo je online
Uživatelé prohlížející si toto fórum: Žádní registrovaní uživatelé a 1 host